近代物理所在致密核物质性质理论研究中获进展
近期, 核物理中心的雍高产研究员在核物质相结构与中子星“超子谜团”研究中取得进展,相关研究论文发表在Physics Letters B上。
核物质相结构的探测研究是当前国际大科学装置(如美国RHIC-STAR、德国FAIR、俄罗斯NICA、日本J-PARC以及我国HIAF等)前沿研究热点之一,其对人们探索宇宙早期、晚期演化奥秘以及对非微扰量子色动力学强相互作用的理解都具有非常重要的意义。STAR合作组近年来主要致力于通过净质子高阶关联涨落的实验测量来研究核物质相变临界点,但最新STAR高统计量实验数据似乎没有显示净质子高阶关联函数的明显涨落。
“大质量中子星内部存在超子”几乎是所有理论家的共识。但中子星内部超子的存在会导致预期的中子星最大质量明显小于天文观测值,这就是所谓的中子星“超子谜团”。解决这一谜团的关键是确定高重子密度下的超子势。STAR实验等基于金-金原子核碰撞来探测超子势,却很难剔除掉当前看来依然未知的、非奇异重子高密核物质状态方程等对超子产生及其集体流的影响。
基于改进的、能够同时再现相关能区不同实验数据的多相输运模型模拟研究,研究人员发现单-双奇异重子比值以及质子椭圆流敏感于重离子碰撞中的夸克物质形成。通过与实验数据比较,研究发现金-金原子核碰撞生成夸克物质的临界碰撞质心能量大约在4 GeV左右,率先给出了核物质强子-夸克相变边界上的一个“点”。

图1.多相输运计算的单-双奇异重子比值(左)以及质子椭圆流(右)与实验数据的比较。
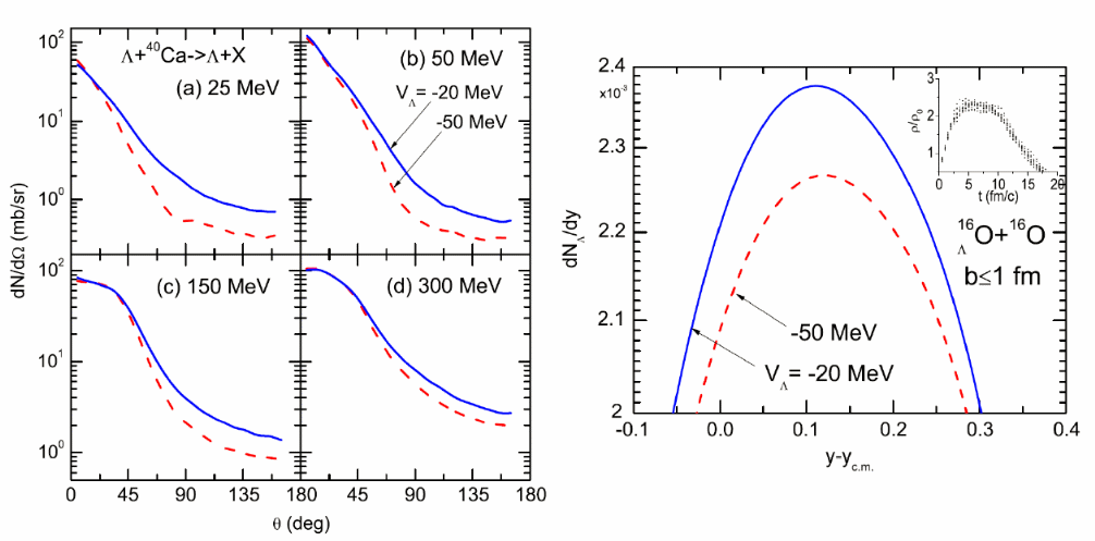
研究人员还基于考虑平均场的核内级联模型及热剩余退激模型,率先提出利用超子、超核次级束流来研究超子-核子相互作用及高重子密度下的超子势,通过测量反应中发射的超子提取常密、高密核物质中的超子势。这种探测研究超子势的方法最大限度地减少了各种理论的不确定性。此外,研究还讨论了相关实验的可行性。

图2.级联模型并合统计模型计算的Lambda超子散射角分布(左)以及Lambda超核碰撞超子快度分布(右)。
文章链接:https://doi.org/10.1016/j.physletb.2023.138051
https://doi.org/10.1016/j.physletb.2023.138327
https://doi.org/10.1016/j.physletb.2024.138662
(理论物理室 供稿)

甘公网安备 62010202000713号